Тарификация » Коммунальное государственное учреждение "Гимназия №41 имени А.С. Пушкина" отдела образования города Тараз Жамбылской области
Жамбыл облысы әкімдігінің білім басқармасы
Тараз қаласының білім бөлімінің
"А.С.Пушкина атыдағы №41 гимназия"
коммуналдық мемлекеттік мекемесі
Директор :
+7(7262) 54-07-33
Қабылдау бөлімі
+7(7262) 54-07-16
Нашар көрушілер
нұсқасы
08
желтоқсан
2025

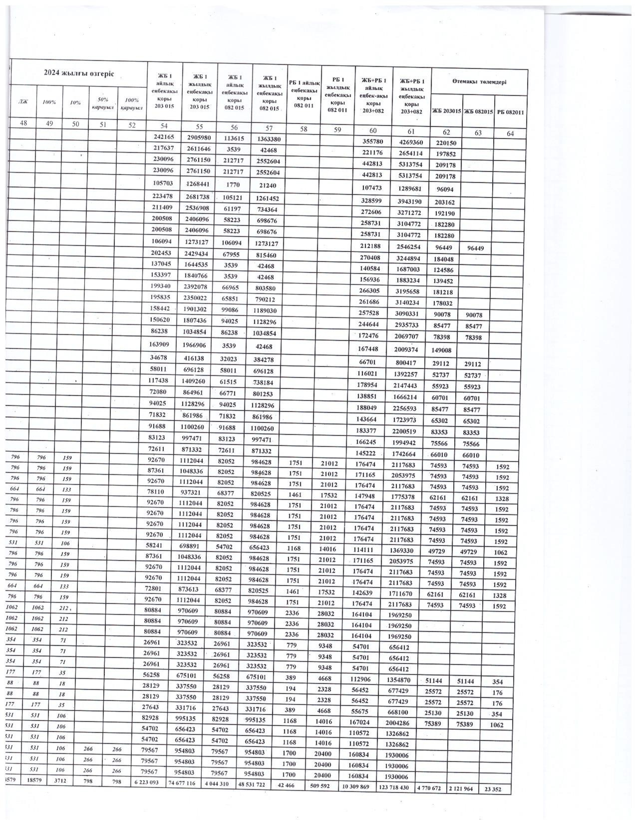
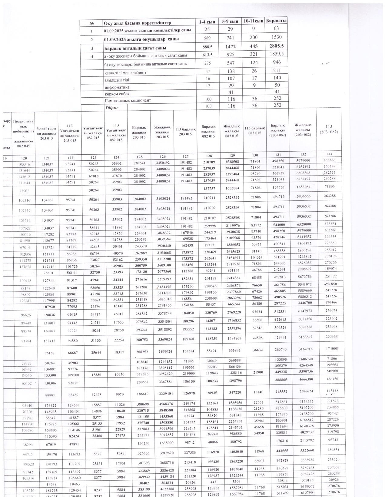
Тарификация

Похожие публикации:

16 қазан 2024 Тарификация.
25 қараша 2022 Тарификация
Прокомментировать
  • bowtiesmilelaughingblushsmileyrelaxedsmirk
    heart_eyeskissing_heartkissing_closed_eyesflushedrelievedsatisfiedgrin
    winkstuck_out_tongue_winking_eyestuck_out_tongue_closed_eyesgrinningkissingstuck_out_tonguesleeping
    worriedfrowninganguishedopen_mouthgrimacingconfusedhushed
    expressionlessunamusedsweat_smilesweatdisappointed_relievedwearypensive
    disappointedconfoundedfearfulcold_sweatperseverecrysob
    joyastonishedscreamtired_faceangryragetriumph
    sleepyyummasksunglassesdizzy_faceimpsmiling_imp
    neutral_faceno_mouthinnocent
Введите код с картинки:* Кликните на изображение чтобы обновить код, если он неразборчив